КЛИНИЧЕСКИ ЗНАЧИМЫЕ МИНОРНЫЕ АНТИГЕНЫ ГИСТОСОВМЕСТИМОСТИ ДЛЯ РОССИЙСКИХ ПАЦИЕНТОВ, ПОЛУЧАЮЩИХ ТРАНСПЛАНТАЦИЮ СТВОЛОВЫХ КЛЕТОК КРОВИ
https://doi.org/10.15789/1563-0625-2019-5-847-860
Аннотация
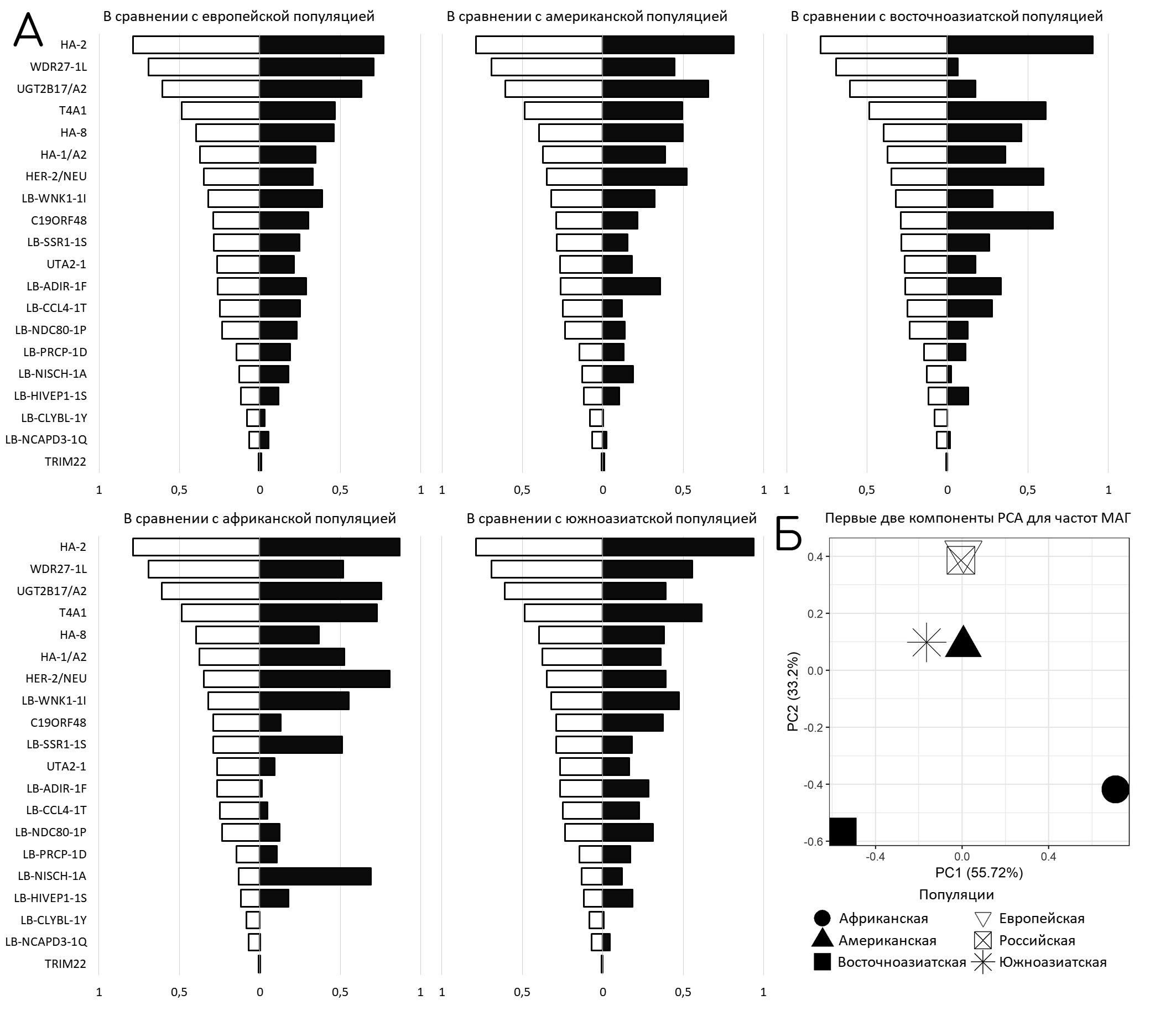
Трансплантация гемопоэтических стволовых клеток (ТГСК) от здорового донора применяется при лечении неопластических заболеваний кроветворной системы. Одним из осложнений трансплантации является развитие аллоиммунной реакции «трансплантат против хозяина» (РТПХ), которая в случае полной совместимости по аллелям генов главного комплекса гистосовместимости (HLA) обусловлена различиями в пептидах, представляемых молекулами HLA на поверхности клеток. Такие полиморфные пептиды – минорные антигены гистосовместимости (МАГ) – могут происходить из любых генов, в том числе специфично экспрессированных в клетках кроветворной системы. В этом случае развивается реакция «трансплантат против лейкоза» (РТПЛ), которая препятствует развитию рецидива. Одним из самых частых аллелей HLA для европейской части России является аллель A*02:01. Нами были оценены частоты 20 полиморфизмов, приводящих к появлению МАГ, представляемых в контексте молекул A*02:01, для потенциальных доноров костного мозга или стволовых клеток крови (СКК) регистра ФГБУ «НМИЦ гематологии» МЗ РФ, также мы определили встречаемость иммуногенных несоответствий в реальных парах донор – реципиент. Всего было генотипировано 608 потенциальных доноров, 90 доноров и 92 пациента. При сравнении с публичными базами данных частот полиморфизмов было показано, что частоты аллелей МАГ в российской популяции наиболее близки к частотам европейской популяции. На основании этих данных была рассчитана вероятность возникновения после ТГСК аллоиммунного ответа, направленного против МАГ: в 33 и 75% случаев родственной и неродственной ТГСК, соответственно, ожидается три и более генетических иммуногенных несоответствия (ИН). Подсчет реального числа ИН в 20 родственных и 20 неродственных парах донор – реципиент согласуется с теоретическим расчетом. Исходя из определенных частот, самыми перспективными для российской популяции мишенями для разработки направленной клеточной терапии злокачественных заболеваний кроветворной системы являются МАГ LB-NDC80-1P/A, LB-CCL4-1T и HA-1. Полученные данные можно использовать при планировании алло-ТГСК для российских пациентов.
Ключевые слова
Об авторах
Д. С. РоманюкРоссия
магистр биологии, научный сотрудник лаборатории трансплантационной иммунологии
Москва
А. А. Хмелевская
Россия
бакалавр биологии, стажер-исследователь лаборатории трансплантационной иммунологии
Москва
А. М. Постовская
Россия
магистр биологии, стажер лаборатории трансплантационной иммунологии
Москва
Д. Б. Малько
Россия
к.техн.н., научный сотрудник лаборатории трансплантационной иммунологии
Москва
Е. П. Кузьминова
Россия
к.б.н., старший научный сотрудник лаборатории тканевого типирования
Москва
Е. Г. Хамаганова
Россия
д.б.н., заведующий лабораторией тканевого типирования
Москва
Г. А. Ефимов
Россия
Ефимов Григорий Александрович, к.б.н., заведующий лабораторией трансплантационной иммунологии
125167, Россия, Москва, Новый Зыковский проезд, 4.
Тел.: 8 (495) 612-44-43.
Список литературы
1. Вдовин А.С., Постовская А.М., Быкова Н.А., Романюк Д.С., Алиева А.Х., Ефимова П.Р., Шитиков С.А., Джулакян У.Л., Ефимов Г.А. Сравнительный анализ методов генотипирования минорных антигенов гистосовместимости // Онкогематология, 2016. Т. 11, № 2. С. 40-50.
2. Armistead P.M., Liang S., Li H., Lu S., Bergen C.A., Alatrash G., John L., Hunsucker S.A., Sarantopoulos S., Falkenburg J., Molldrem J.J. Common minor histocompatibility antigen discovery based upon patient clinical outcomes and genomic data. PloS ONE, 2011, Vol. 6, no. 8, e23217. doi: 10.1371/journal.pone.0023217
3. Bergen C., Rutten C.E., Meijden E.D., Luxemburg-Heijs S., Lurvink E., Houwing-Duistermaat J.J., Kester M., Mulder A., Willemze R., Falkenburg J.H., et al. High-throughput characterization of 10 new minor histocompatibility antigens by whole genome association scanning. Cancer Research, 2010, Vol. 70, pp. 9073-9083.
4. Bijen H.M., Hassan C., Kester M.G.D., Janssen G.M.C., Hombrink P., Ru A.H., Drijfhout J.W., Meiring H.D., de Jong A.P., Falkenburg J.H.F., Jimenez C.R., Heemskerk M.H.M., van Veelen P.A. Specific T cell responses against minor histocompatibility antigens cannot generally be explained by absence of their allelic counterparts on the cell surface. Proteomics, 2018, Vol. 18, no. 12, e1700250. doi: 10.1002/pmic.201700250.
5. Bleakley M., Riddell S.R. Exploiting T cells specific for human minor histocompatibility antigens for therapy of leukemia. Immunol. Cell Biol., 2011, Vol. 89, no. 3, pp. 396-407.
6. Brickner A.G., Warren E.H., Caldwell J.A., Akatsuka Y., Golovina T.N., Zarling A.L., Shabanowitz J., Eisenlohr L.C., Hunt D.F., Engelhard V.H., Riddell S.R. The immunogenicity of a new human minor histocompatibility antigen results from differential antigen processing. J. Exp. Med., 2001, Vol. 193, no. 2, pp. 195-206.
7. Bykova N.A., Malko D.B., Efimov G.A. In silico analysis of the minor histocompatibility antigen landscape based on the 1000 Genomes Project. Front. Immunol., 2018, Vol. 9, e1819. doi: 10.3389/fimmu.2018.01819.
8. den Haan J. The minor histocompatibility antigen HA-1: A diallelic gene with a single amino acid polymorphism. Science, 1998, Vol. 279, pp. 1054-1057.
9. Dzierzak-Mietla M., Markiewicz M., Siekiera U., Mizia S., Koclega A., Zielinska P., Sobczyk-Kruszelnicka M., Kyrcz-Krzemien S. Occurrence and impact of minor histocompatibility antigens’ disparities on outcomes of hematopoietic stem cell transplantation from HLA-matched sibling donors. Bone Marrow Res., 2012, Vol. 2012, e257086. doi: 10.1155/2012/257086.
10. Franssen L.E., Roeven M.W.H., Hobo W., Doorn R., Oostvogels R., Falkenburg J.H.F., van de Donk N.W., Kester M.G.D., Fredrix H., Westinga K., Slaper-Cortenbach I., Spierings E., Kersten M.J., Dolstra H., Mutis T., Schaap N., Lokhorst H.M. A phase I/II minor histocompatibility antigen-loaded dendritic cell vaccination trial to safely improve the efficacy of donor lymphocyte infusions in myeloma. Bone Marrow Transplant., 2017, Vol. 52, no. 10, pp. 1378-1383.
11. Goulmy E. Minor histocompatibility antigens: from transplantation problems to therapy of cancer. Hum. Immunol., 2006, Vol. 67, pp. 433-438.
12. Granados D.P., Rodenbrock A., Laverdure J.P., Côté C., Caron-Lizotte O., Carli C., Pearson H., Janelle V., Durette C., Bonneil E., Roy D.C., Delisle J.S., Lemieux S., Thibault P., Perreault C. Proteogenomic-based discovery of minor histocompatibility antigens with suitable features for immunotherapy of hematologic cancers. Leukemia, 2016, Vol. 30, no. 6, pp. 1344-1354.
13. Haan D.J., Sherman N.E., Blokland E., Huczko E., Koning F., Drijfhout J., Skipper J., Shabanowitz J., Hunt D.F., Engelhard V.H. Identification of a graft versus host disease-associated human minor histocompatibility antigen. Science, 1995, Vol. 268, no. 5216, pp. 1476-1480.
14. Hambach L., Vermeij M., Buser A., Aghai Z., van der Kwast T., Goulmy E. Targeting a single mismatched minor histocompatibility antigen with tumor-restricted expression eradicates human solid tumors. Blood, 2008, Vol. 112, no. 5, pp. 1844-1852.
15. Hobo W., Broen K., van der Velden W.J., Greupink-Draaisma A., Adisty N., Wouters Y., Kester M., Fredrix H., Jansen J.H., van der Reijden B., Falkenburg J.H., de Witte T., Preijers F., Schattenberg T., Feuth T., Blijlevens N.M., Schaap N., Dolstra H. Association of disparities in known minor histocompatibility antigens with relapse-free survival and graft-versus-host disease after allogeneic stem cell transplantation. Biol. Blood Marrow Transplant., 2013, Vol. 19, no. 2, pp. 274-282.
16. Hombrink P., Hassan C., Kester M., Jahn L., Pont M.J., de Ru A.H., van Bergen C., Griffioen M., Falkenburg J.H., van Veelen P.A., Heemskerk M.H. Identification of biological relevant minor histocompatibility antigens within the B-lymphocyte–derived HLA-ligandome using a reverse immunology approach. Clin. Cancer Res., 2015, Vol. 21, no. 9, pp. 2177-2186.
17. Hombrink P., Hassan C., Kester M.G., de Ru A.H., van Bergen C.A., Nijveen H., Drijfhout J.W., Falkenburg J., Heemskerk M.H., van Veelen P.A. Discovery of T cell epitopes implementing HLA-peptidomics into a reverse immunology approach. J. Iimmunol., 2013, Vol. 190, no. 8, pp. 3869-3877.
18. Lio H-Y., Tang J-L., Wu J., Wu S-J., Lin C-Y., Yang Y-C. Minor histocompatibility antigen HA-1 and HA-2 polymorphisms in Taiwan: frequency and application in hematopoietic stem cell transplantation. Clin. Chem. Lab. Med., 2010, Vol. 48, no. 9, pp. 1287-1293.
19. Malarkannan S., Regunathan J., Timler A.M. Minor histocompatibility antigens: Molecular targets for immunomodulation in tissue transplantation and tumor therapy. Clin. Appl. Immunol. Rev., 2005, Vol. 5, pp. 95-109.
20. Marijt W.A., Heemskerk M.H., Kloosterboer F.M., Goulmy E., Kester M.G., van der Hoorn M.A., van Luxemburg-Heys S.A., Hoogeboom M., Mutis T., Drijfhout J.W., van Rood J.J., Willemze R., Falkenburg J.H. Hematopoiesis-restricted minor histocompatibility antigens HA-1or HA-2-specific T cells can induce complete remissions of relapsed leukemia. Proc. Natl. Acad. Sci. USA, 2003, Vol. 100, no. 5, pp. 2742-2747.
21. Martin P.J., Levine D.M., Storer B.E., Warren E.H., Zheng X., Nelson S.C., Smith A.G., Mortensen B.K., Hansen J.A. Genome-wide minor histocompatibility matching as related to the risk of graft-versus-host disease. Blood, 2017, Vol. 129, no. 6, pp. 791-798.
22. Murata M., Warren E.H., Riddell S.R. A human minor histocompatibility antigen resulting from differential expression due to a gene deletion. J. Exp. Med., 2003, Vol. 197, no. 10, pp. 1279-1289.
23. Oostvogels R., Lokhorst H.M., Minnema M.C., van Elk M., van den Oudenalder K., Spierings E., Mutis T., Spaapen R.M. Identification of minor histocompatibility antigens based on the 1000 Genomes Project. Haematologica, 2014, Vol. 99, no. 12, e109801. doi: 10.3324/haematol.2014.109801.
24. Oostvogels R., Minnema M.C., van Elk M., Spaapen R.M., te Raa G.D., Giovannone B., Buijs A., van Baarle D., Kater A., Griffioen M., Spierings E., Lokhorst H.M., Mutis T. Towards effective and safe immunotherapy after allogeneic stem cell transplantation: identification of hematopoietic-specific minor histocompatibility antigen UTA2-1. Leukemia, 2013, Vol. 27, no. 3, pp. 642-649.
25. Pierce R.A., Field E.D., Mutis T., Golovina T.N., von Kap-Herr C., Wilke. M., Pool J., Shabanowitz J., Pettenati M.J., Eisenlohr L.C., Hunt D.F., Goulmy E., Engelhard V.H. The HA-2 minor histocompatibility antigen is derived from a diallelic gene encoding a novel human class i myosin protein. J. Immunol., 2001, Vol. 167, no. 6, pp. 3223-3230.
26. Romaniuk D.S., Postovskaya A.M., Khmelevskaya A.A., Malko D.B., Efimov G.A. Rapid multiplex genotyping of 20 HLA-A*02:01 restricted minor histocompatibility antigens. Front. Immunol., 2019, Vol. 10, 1226. doi: 10.3389/fimmu.2019.01226.
27. Sellami M.H., Ben Ahmed B.A., Kaabi H., Jridi A., Dridi A., Hmida S. HA-1 and HA-2 minor histocompatibility antigens in Tunisians. Tissue Antigens, 2010, Vol. 75, no. 6, pp. 720-723.
28. Spellman S., Warden M.B., Haagenson M., Pietz B.C., Goulmy E., Warren E.H., Wang T., Ellis T.M. Effects of mismatching for minor histocompatibility antigens on clinical outcomes in HLA-matched, unrelated hematopoietic stem cell transplants. Biol. Blood Marrow Transplant., 2009, Vol. 15, no. 7, pp. 856-863.
29. Spierings E. Minor histocompatibility antigens: past, present, and future. Tissue Antigens, 2014, Vol. 84, no. 4, pp. 374-360.
30. Sudmant P.H., Rausch T., Gardner E.J., Handsaker R.E., Abyzov A., Huddleston J., Zhang Y., Ye K., Jun G., Fritz M.H., Konkel M.K., Malhotra A., Stütz A.M., Shi X., Casale F.P., Chen J., Hormozdiari F., Dayama G., Chen K., Malig M., Chaisson M.J.P., Walter K., Meiers S., Kashin S., Garrison E., Auton A., Lam H.Y.K., Mu X.J., Alkan C., Antaki D., Bae T., Cerveira E., Chines P., Chong Z., Clarke L., Dal E., Ding L., Emery S., Fan X., Gujral M., Kahveci F., Kidd J.M., Kong Y., Lameijer E.W., McCarthy S., Flicek P., Gibbs R.A., Marth G., Mason C.E., Menelaou A., Muzny D.M., Nelson B.J., Noor A., Parrish N.F., Pendleton M., Quitadamo A., Raeder B., Schadt E.E., Romanovitch M., Schlattl A., Sebra R., Shabalin A.A., Untergasser A., Walker J.A., Wang M., Yu F., Zhang C., Zhang J., Zheng-Bradley X., Zhou W., Zichner T., Sebat J., Batzer M.A., McCarroll S.A., 1000 Genomes Project Consortium, Mills R.E., Gerstein M.B., Bashir A., Stegle O., Devine S.E., Lee C., Eichler E.E., Korbel J.O. An integrated map of structural variation in 2,504 human genomes. Nature, 2015, Vol. 526, no. 7571, pp. 75-81.
31. Tykodi S.S., Fujii N., Vigneron N., Lu S.M., Mito J.K., Miranda M.X., Chou J., Voong L.N., Thompson J.A., Sandmaier B.M., Cresswell P., van den Eynde B., Riddell S.R., Warren E.H. C19orf48 encodes a minor histocompatibility antigen recognized by CD8 + cytotoxic T cells from renal cell carcinoma patients. Clin. Cancer Res., 2008, Vol. 14, no. 16, pp. 5260-5269.
32. van Bergen C.A., Kester M.G., Jedema I., Heemskerk M.H., van Luxemburg-Heijs S.A., Kloosterboer F.M., Marijt E.W., de Ru A.H., Schaafsma M.R., Willemze R., van Veelen P.A., Falkenburg J.H. Multiple myelomareactive T cells recognize an activation-induced minor histocompatibility antigen encoded by the ATP-dependent interferon-responsive (ADIR) gene. Blood, 2007, Vol. 109, no. 9, pp. 4089-4096.
33. van Bergen C.A., van Luxemburg-Heijs S.A., de Wreede L.C., Eefting M., von dem Borne P.A., van Balen P., Heemskerk M.H., Mulder A., Claas F.H., Navarrete M.A., Honders W.M., Rutten C.E., Veelken H., Jedema I., Halkes C.J., Griffioen M., Falkenburg J.H. Selective graft-versus-leukemia depends on magnitude and diversity of the alloreactive T cell response. J. Clin. Invest., 2017, Vol. 127, no. 2, pp. 517-529.
34. van Loenen M.M., de Boer R., Hagedoorn R.S., van Egmond E.H., Falkenburg J.H., Heemskerk M.H. Optimization of the HA-1-specific T-cell receptor for gene therapy of hematologic malignancies. Haematologica, 2011, Vol. 96, no. 3, pp. 477-481.
35. Warren E.H., Fujii N., Akatsuka Y., Chaney C.N., Mito J.K., Loeb K.R., Gooley T.A., Brown M.L., Koo K.K., Rosinski K.V., Ogawa S., Matsubara A., Appelbaum F.R., Riddell S.R. Therapy of relapsed leukemia after allogeneic hematopoietic cell transplantation with T cells specific for minor histocompatibility antigens. Blood, 2010, Vol. 115, no. 9, pp. 3869-3878.
36. Wenandy L., Kollgaard T., Letsch A., Andersen R.S., Stather D., Seremet T., Svane I.M., Vindeløv L., Andersen M.H., thor Straten P. The 1170 A-P single-nucleotide polymorphism (SNP) in the Her-2/neu protein (HER2) as a minor histocompatibility antigen (mHag). Leukemia, 2009, Vol. 23, no. 10, e2009112. doi: 10.1038/leu.2009.112.
37. Wölfel C., Lennerz V., Lindemann E., Hess G., Derigs H.G., Huber C., Herr W., Wölfel T. Dissection and molecular analysis of alloreactive CD8 + T cell responses in allogeneic haematopoietic stem cell transplantation. Cancer Immunol. Immunother., 2008, Vol. 57, no. 6, pp. 849-857.
Дополнительные файлы
|
1. Метаданные | |
| Тема | ||
| Тип | Прочее | |
Скачать
(15KB)
|
Метаданные ▾ | |
|
2. Титульный лист | |
| Тема | ||
| Тип | Исследовательские инструменты | |
Скачать
(16KB)
|
Метаданные ▾ | |
|
3. Резюме | |
| Тема | ||
| Тип | Исследовательские инструменты | |
Скачать
(14KB)
|
Метаданные ▾ | |
|
|
4. Рисунок_1. Частоты иммуногенных аллелей МАГ российской популяции наиболее близки к частотам для европейской популяции | |
| Тема | ||
| Тип | Исследовательские инструменты | |
Посмотреть
(316KB)
|
Метаданные ▾ | |
|
5. Рисунок_2. Распределение вероятности числа иммуногенных несоответствий МАГ для родственных и неродственных пар | |
| Тема | ||
| Тип | Исследовательские инструменты | |
Скачать
(50KB)
|
Метаданные ▾ | |
|
6. Таблица 1 | |
| Тема | ||
| Тип | Исследовательские инструменты | |
Скачать
(22KB)
|
Метаданные ▾ | |
|
7. Таблица 2 | |
| Тема | ||
| Тип | Исследовательские инструменты | |
Скачать
(14KB)
|
Метаданные ▾ | |
|
8. Таблица 3 | |
| Тема | ||
| Тип | Исследовательские инструменты | |
Скачать
(14KB)
|
Метаданные ▾ | |
|
9. Таблица 4 | |
| Тема | ||
| Тип | Исследовательские инструменты | |
Скачать
(13KB)
|
Метаданные ▾ | |
|
10. Литература | |
| Тема | ||
| Тип | Исследовательские инструменты | |
Скачать
(18KB)
|
Метаданные ▾ | |
|
11. Подписи к рисункам | |
| Тема | ||
| Тип | Исследовательские инструменты | |
Скачать
(12KB)
|
Метаданные ▾ | |
|
12. Подписи авторов | |
| Тема | ||
| Тип | Исследовательские инструменты | |
Скачать
(574KB)
|
Метаданные ▾ | |
Рецензия
Для цитирования:
Романюк Д.С., Хмелевская А.А., Постовская А.М., Малько Д.Б., Кузьминова Е.П., Хамаганова Е.Г., Ефимов Г.А. КЛИНИЧЕСКИ ЗНАЧИМЫЕ МИНОРНЫЕ АНТИГЕНЫ ГИСТОСОВМЕСТИМОСТИ ДЛЯ РОССИЙСКИХ ПАЦИЕНТОВ, ПОЛУЧАЮЩИХ ТРАНСПЛАНТАЦИЮ СТВОЛОВЫХ КЛЕТОК КРОВИ. Медицинская иммунология. 2019;21(5):847-860. https://doi.org/10.15789/1563-0625-2019-5-847-860
For citation:
Romaniuk D.S., Khmelevskaya A.A., Postovskaya A.M., Malko D.B., Kuzminova E.P., Khamaganova E.G., Efimov G.A. CLINICALLY RELEVANT MINOR HISTOCOMPATIBILITY ANTIGENS FOR RUSSIAN PATIENTS UNDERGOING HEMATOPOIETIC STEM CELL TRANSPLANTATION. Medical Immunology (Russia). 2019;21(5):847-860. (In Russ.) https://doi.org/10.15789/1563-0625-2019-5-847-860





































